金属・非金属素材

切欠き付試験片の引張試験

  • 樹脂材料の引張試験において、ネッキングによる不均一性を避けるため、試験片に切欠きを設けてネッキング位置を制御し、DIC法により局所的な応力・ひずみを計測してS–S曲線の取得を試みました。
切欠き付き試験片のDIC計測
  • 常にRの底部にネッキングが発生する
  • ネッキング位置を特定することができた
  • ひずみ分布ははおおよそ単軸の状況である

【参考文献】
[1]川﨑,小林,村田,西脇,山下,野々村: ポリエステル系熱可塑性エラストマーの高速引張挙動, M&M2013講演論文集, 2013
[2]村田,西脇,吉田: 板材引張試験における変形抵抗と降伏関数の同定手法の検討, 日本塑性加工学会, 2013

ABS樹脂の高速引張解析結果

従来型のダンベル型試験片[1]

従来型のダンベル型試験片
ダンベル型試験結果
  • ネッキング発生位置を特定できない
  • ネッキングは複数個所発生する
  • ネック伝播が起きる
  • ひずみ速度依存性の評価を難しくしている

切り欠きつき試験片[2]

切り欠きつき試験片
切り欠き付き試験結果
  • ダンベル型でみられたような、ひずみ速度の不規則な変動の抑止ができた

ABS樹脂の高速引張解析結果

金属・非金属素材

ブラジリアンテスト
(引張強度計測試験)

  • ブラジリアンテストは、脆性材料の主応力による引張強度、引張破壊応力を求めることができる試験法です。通常の引張試験機ではチャック部分で割れてデータが取れない等の欠点がありますが、ブラジリアンテストではセラミクスを円板状に成形して試験片を簡単に作れ、圧縮試験により引張特性を得ることができます。
  • ここでは、Abaqus/Standardを用いてこのブラジリアンテストの解析を行い、理論解と比較を示します。
  • さらに、韓らが提案した超ハイテン材のき裂解析を可能とするPhase-field損傷解析[3]をユーザーサブルーチンに組み込み、ブラジリアンテストで発生するき裂の様子を示します。
ブラジリアンテスト
ブラジリアンテスト[1]
対向集中荷重を受ける弾性円板の内部応力分布
対向集中荷重を受ける
弾性円板の内部応力分布[2]

【参考文献】
[1] GEOLABS, https://geolabs.co.uk/rock-testing/#tab-id-4
[2] 谷川ほか、構造材料実験法 <第3版>、森北出版、pp.24-25、2003。
[3] Han, J., et al., Gradient damage model for ductile fracture introducing degradation of damage hardening modulus: implementation and experimental investigations, International Journal of Fracture, Vol. 240, pp. 183–208, (2023).

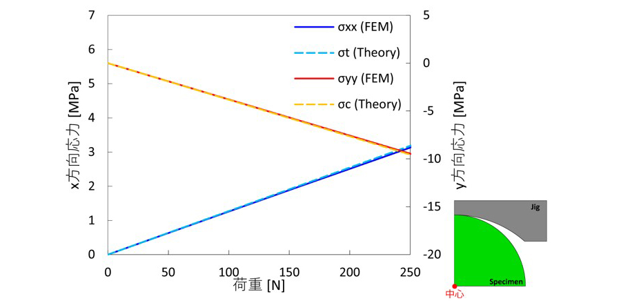
AAbaqus/Standardと理論解の解析結果の比較(中心に発生する応力の履歴曲線)
Abaqus/Standardと理論解の解析結果の比較
(中心に発生する応力の履歴曲線)
Phase-field損傷破壊を考慮したブラジリアンテストの結果
Phase-field損傷破壊を考慮したブラジリアンテストの結果
輸送機器

き裂の進展(VCCT)

  • VCCTは、有限要素法を用いてき裂進展の可否をエネルギー解放率で評価する手法です。き裂が仮想的に進展した直後の節点を「閉口」させるために必要な仕事量から、モード別(I, II, III)の解放率を算出します。
  • 線形弾性材料に限定され、初期き裂の定義とメッシュ整合が必要ですが、複合材や接着界面の破壊解析に高い精度で適用可能です。
  • 二重片持ちばり試験片による限界エネルギー開放率の計測
    • DCB試験は、接着海面の破壊靭性(限界エネルギー開放率GIC)を求める代表的手法です。
    • アルミ材を接着し、引張試験機で変位を加えてき裂進展させ、荷重ー変位から最大荷重Pmaxを計測します。
    • 梁理論に基づき、GICを算出します。
VCCTによるエネルギー開放率の計算
VCCTによるエネルギー開放率の計算
DCB試験の外観
DCB試験の外観
DCB試験結果
DCB試験結果
Abaqusによる亀裂進展解析

Abaqusによる亀裂進展解析

輸送機器

Abaqusによるフェーズフィールドき裂解析[1]

  • 東北大学において開発されたPhase-Field脆性損傷モデルを、市販の汎用ソフトウェアであるAbaqus に,ユーザーサブルーチンとして実装しました。
  • Phase-Field法を汎用FEMのなかで実現するために、連成解析として用意されている機能を応用しました。
  • スポット溶接を含む試験片を対象としてTensile Shear試験を実施し、その結果を,上記のPhase-Field損傷モデルを用いてトレースしています。

【参考文献】
[1]韓他,「低減破壊エネルギーを用いたphase-field 延性損傷モデル」,日本計算工学会論文集,2021年,p20210014

Phase-Field損傷(弾塑性)サブルーチンアルゴリズム
Phase-Field損傷(弾塑性)サブルーチンアルゴリズム
Tensile Shear試験の数値シミュレーション結果比較
Tensile Shear試験の数値
シミュレーション結果比較
破断後の試験片
破断後の試験片
輸送機器

スポット溶接におけるナゲットの形成[1]

  • スポット溶接のナゲット形成過程を解明するため、Abaqusによる電気‐熱‐応力連成解析技術を開発しました。
  • 電極形状や相変態を含む条件をモデル化し、1/4モデルで電圧・電流・加圧力を設定。鋼板は昇温によりマルテンサイト相からオーステナイト相へ変態し、解析ではナゲット成長と熱履歴を取得しました。
  • 高度分布や局所SSカーブ計測と実験結果を対比しました。

【参考文献】
[1]国立研究開発法人 科学技術振興機構・研究成果最適展開支援プログラム A-STEP産学共同(本格型),令和2年度採択課題,スポット溶接された超ハイテン材の破壊予測技術の開発,2020年12月~2023年03月,株式会社メカニカルデザイン,東北大学,慶應義塾大学,名古屋市工業研究所.

解析モデル
解析モデル
施工条件モデル化
施工条件モデル化
相変態のモデル化
相変態のモデル化
解析結果と試験片
解析結果と試験片
輸送機器

溶接解析

  • 機械部品の耐久性や寸法安全性などの信頼性を向上させるためには、溶接工程で発生する残留応力や熱変形を把握することが重要となります。
  • ここでは、炭素鋼母材にSUSを溶接させる解析例を示します。伝熱解析で得られた結果を応力解析に引き渡す一方向の熱‐応力連成解析手法を用いています。
  • 溶接過程の伝熱解析では、熱荷重を移動させながら溶接部の要素を徐々に有効化することによって、溶接材のSUSが追加される様子を表現しています。
    伝熱解析で得られた温度を応力解析に引き渡すことによって、熱変形や発生する応力分布を取得することが可能です。
  • また、溶接後にモデル全体を加熱し、一定時間保持した後に室温に冷却する熱処理過程の解析も行っています。
解析モデル
解析モデル
温度条件
温度条件
溶接解析
溶接解析

本ページのサービスに関するご相談からお見積り依頼まで承っております。
まずはこちらからお気軽にお問い合わせください。

お問い合わせ ・ ご相談